Free Access

Fig. A.1

image

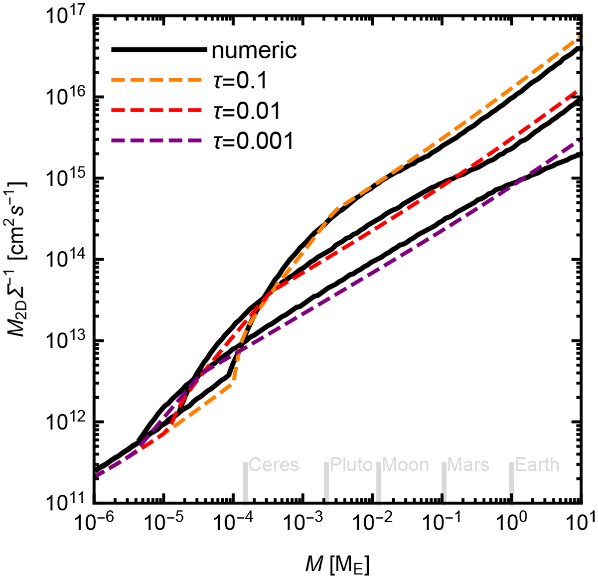
Product 2raccvacc, or equivalently peb,2DΣpeb, as function of embryo mass. Dark lines represent the results of two-body embryo–pebble integrations in 2D, for particles with different Stokes number. The coloured dashed lines correspond to the results from our accretion prescription, covering strong coupling, the decrease to weak coupling, and finally, around the smallest masses, the accretion purely following gravitational deflection. Values shown here are for an embryo at 2.5 AU with headwind velocity ηvK = 7 × 103 cm s−1. The simulations presented in this paper start with embyos with a mass of 0.01 ME.

Current usage metrics show cumulative count of Article Views (full-text article views including HTML views, PDF and ePub downloads, according to the available data) and Abstracts Views on Vision4Press platform.

Data correspond to usage on the plateform after 2015. The current usage metrics is available 48-96 hours after online publication and is updated daily on week days.

Initial download of the metrics may take a while.