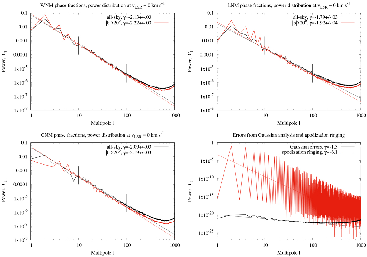
Fig. 4

Power distributions for phase fractions in different H I phases at vLSR = 0 km s−1. Top left: WNM; top right: LNM; bottom left: CNM. Black lines show all-sky data, red lines are for |b| > 20°. Spectral indices are derived at 10 < l < 100 as indicated by the vertical lines. Bottom right: uncertainties from the Gaussian decomposition (black) and ringing caused by apodization (red).
Current usage metrics show cumulative count of Article Views (full-text article views including HTML views, PDF and ePub downloads, according to the available data) and Abstracts Views on Vision4Press platform.
Data correspond to usage on the plateform after 2015. The current usage metrics is available 48-96 hours after online publication and is updated daily on week days.
Initial download of the metrics may take a while.