Open Access

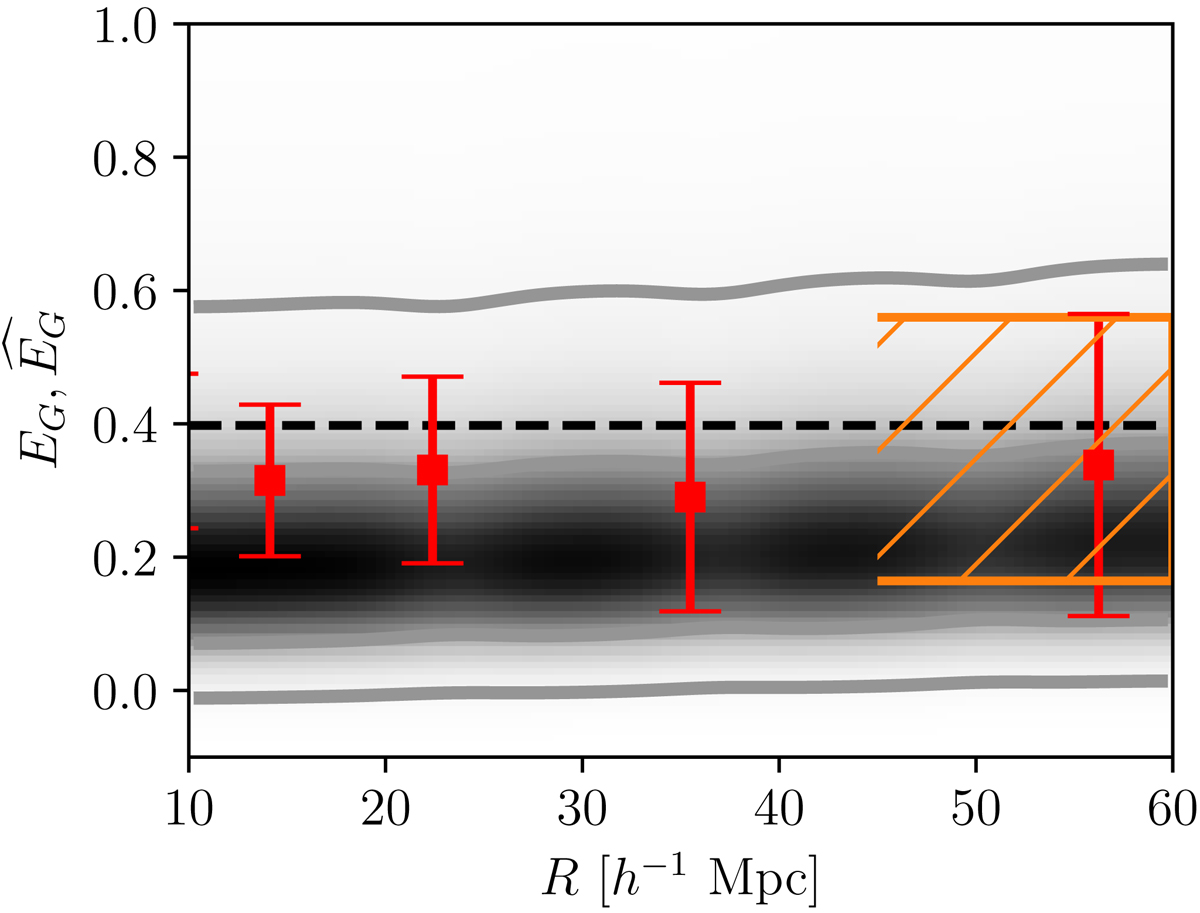
Fig. A.1.

image

Recovered signal in the mocks, when (grey shared area with 1σ and 2σ C.L. contours) and (orange 1σ shaded area) are computed from the MCMC samples, and when is directly estimated from the mocks (red data points with 1σ error bars). In this latter case, we take β = 0.84/2.13 = 0.39, as obtained from a previous fit of our model to the RSD-only measurements in the mocks. Both definitions are in agreement with the value of Ωm/f computed using the Planck cosmology 2018 of the simulation (black dashed line). Measurements are performed with R0 = 1.0 h−1 Mpc, smin = 17.8 h−1 Mpc and no tapering.

Current usage metrics show cumulative count of Article Views (full-text article views including HTML views, PDF and ePub downloads, according to the available data) and Abstracts Views on Vision4Press platform.

Data correspond to usage on the plateform after 2015. The current usage metrics is available 48-96 hours after online publication and is updated daily on week days.

Initial download of the metrics may take a while.