Open Access

Fig. 3.

image

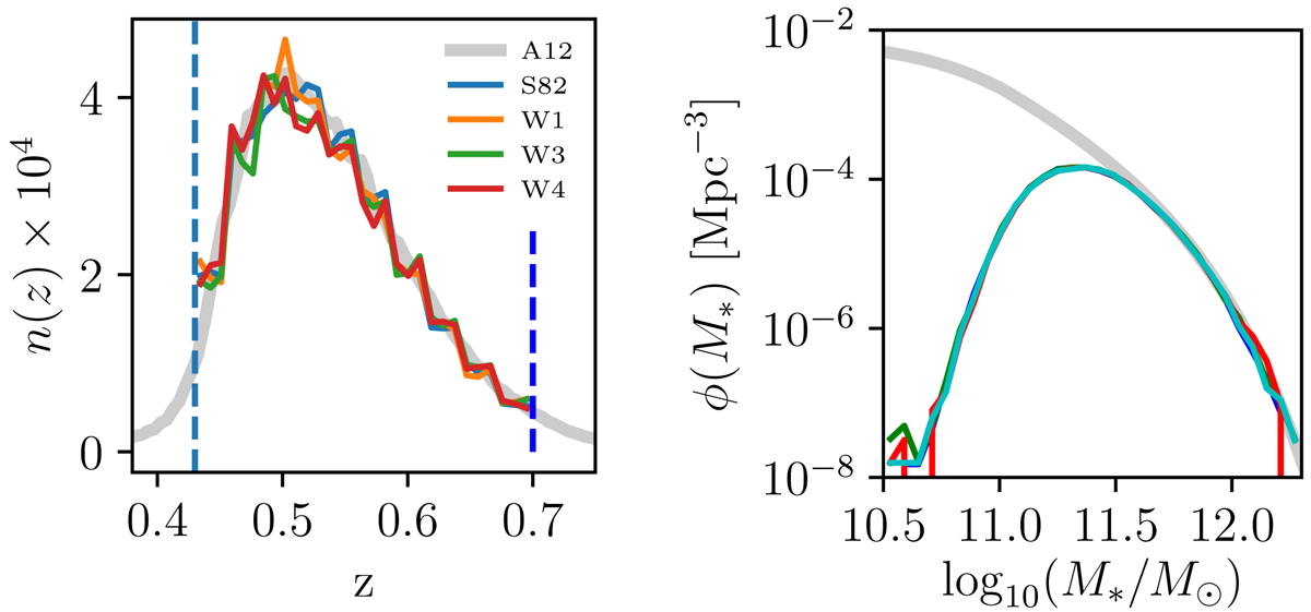
Left panel: number density of CMASS mock galaxies for our 4 simulated fields. Limits of our analysis are indicated with blue dashed lines. Measurements from Anderson et al. (2012, A12) are in grey. Right panel: CMASS CMF for the 4 fields reproducing the observed incompleteness. The mock catalogue is complete at high mass in agreement with the model proposed in Rodríguez-Torres et al. (2016) in grey.

Current usage metrics show cumulative count of Article Views (full-text article views including HTML views, PDF and ePub downloads, according to the available data) and Abstracts Views on Vision4Press platform.

Data correspond to usage on the plateform after 2015. The current usage metrics is available 48-96 hours after online publication and is updated daily on week days.

Initial download of the metrics may take a while.