Open Access

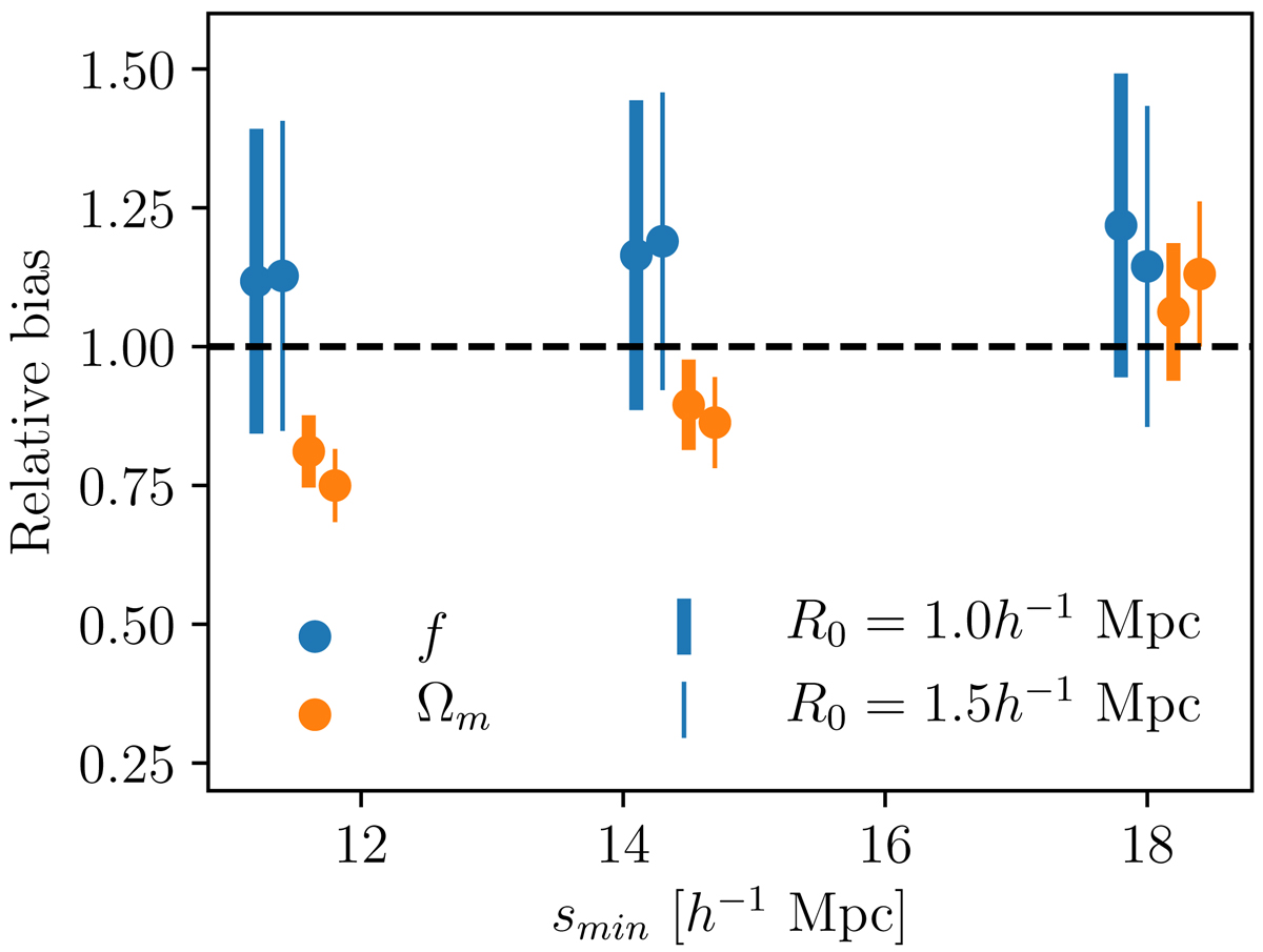
Fig. 5.

image

Bias between recovered parameters f and Ωm relative to the values used in the mocks as functions of the minimum scale of the multipoles smin, and the cut-off radius of the Υ(R, R0) lensing estimator. Values of smin = 17.8 h−1 Mpc and R0 = 1.0 h−1 Mpc provide unbiased estimates of f and Ωm. All measurements were performed without tapering smoothing in the covariance matrices.

Current usage metrics show cumulative count of Article Views (full-text article views including HTML views, PDF and ePub downloads, according to the available data) and Abstracts Views on Vision4Press platform.

Data correspond to usage on the plateform after 2015. The current usage metrics is available 48-96 hours after online publication and is updated daily on week days.

Initial download of the metrics may take a while.