Free Access

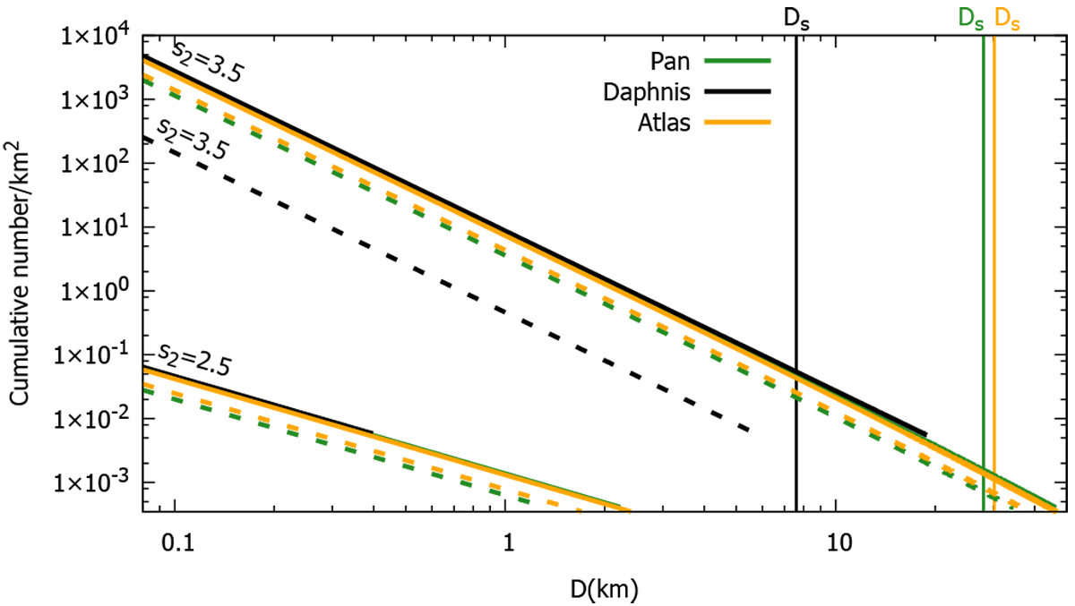
Fig. 4

image

Cumulative number of craters per square kilometer as a function of crater diameter D for Pan, Daphnis, and Atlas, calculated for both values of the impactor size distribution index s2. Solid lines correspond to the cratering process considering the total age of the solar system and dashed lines correspond to the adapted model for the calculated age of the satellite (top lines are for s2 = 3.5 and bottom lines for s2 = 2.5). Vertical lines indicate the mean body diameter Ds for each satellite.

Current usage metrics show cumulative count of Article Views (full-text article views including HTML views, PDF and ePub downloads, according to the available data) and Abstracts Views on Vision4Press platform.

Data correspond to usage on the plateform after 2015. The current usage metrics is available 48-96 hours after online publication and is updated daily on week days.

Initial download of the metrics may take a while.