Open Access

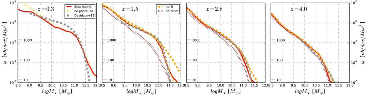
Fig. 16.

image

Impact of our main prescriptions for regulating star formation and gas accretion, photoionisation, re-accretion, and thermal instabilities on the stellar mass assembly of model galaxies (i.e. the co-moving density of model galaxies as a function of redshift). The solid red line shows our fiducial model using the full suite of prescriptions. The dot-dashed gold lines indicate our model without photoionisation. In the three right-most panels, the dotted brown lines and dashed orange lines indicate predictions of the stellar mass functions without including the prescriptions for re-accretion of gas over two halo crossing times and thermal instabilities, respectively (as indicated in the legends of the two left-most panels). These are compared to the observational estimates of the co-moving density of galaxies from Davidzon et al. (2016). The four different panels represent four different redshift bins, z = 0.3, 1.5, 2.8, and 4 (from the left-most to the right-most panel, respectively).

Current usage metrics show cumulative count of Article Views (full-text article views including HTML views, PDF and ePub downloads, according to the available data) and Abstracts Views on Vision4Press platform.

Data correspond to usage on the plateform after 2015. The current usage metrics is available 48-96 hours after online publication and is updated daily on week days.

Initial download of the metrics may take a while.