Open Access

Fig. 17.

image

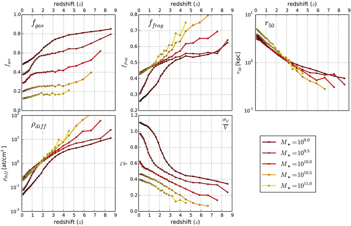
Evolution with redshift of 5 main disk properties of disk galaxies which lie along the star-forming galaxy main sequence shown for a range of mass bins. Legend in the lower right gives the stellar mass values for each curve in the panels. Upper left: gas mass fraction, fgas, as a function of redshift for 5 stellar mass bins. Upper centre: fraction of the gas which is fragmented, ffrag. Upper right: average half mass radius, r50, of the ensemble of star-forming model galaxies. Lower left: diffuse gas density, ρdiff. Lower right: ratio of the gas velocity dispersion to orbital velocity, .

Current usage metrics show cumulative count of Article Views (full-text article views including HTML views, PDF and ePub downloads, according to the available data) and Abstracts Views on Vision4Press platform.

Data correspond to usage on the plateform after 2015. The current usage metrics is available 48-96 hours after online publication and is updated daily on week days.

Initial download of the metrics may take a while.