Open Access

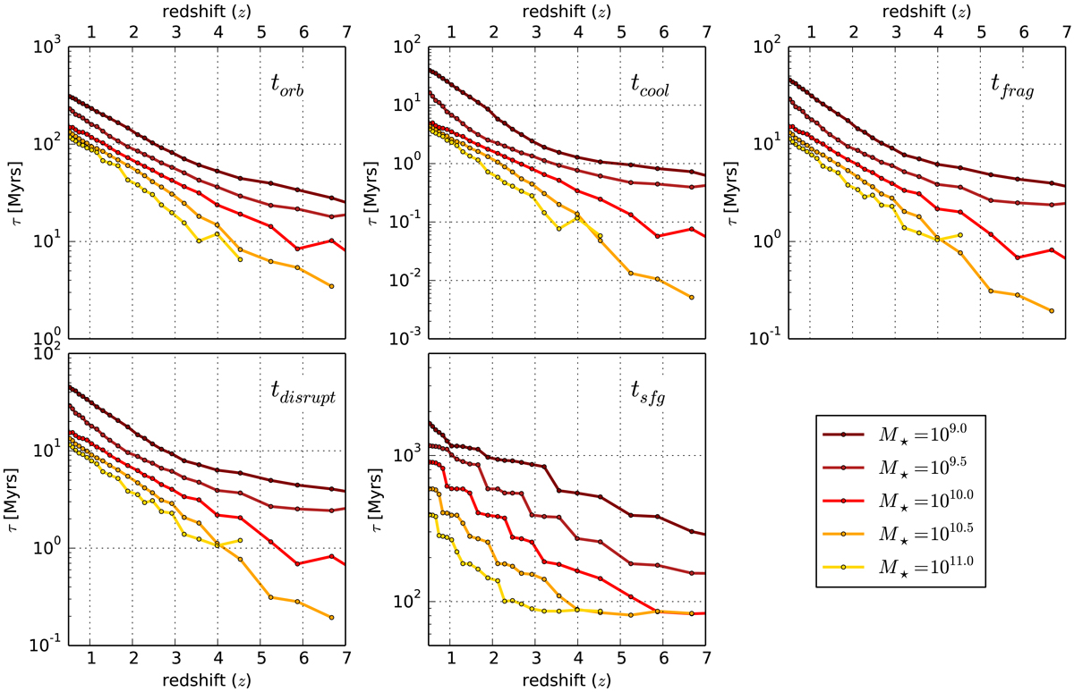
Fig. 18.

image

Evolution with redshift of 5 main timescales for regulating the growth of disk galaxies which lie along the star-forming galaxy main sequence shown for a range of redshift bins. The legend in the lower right panel gives the stellar mass value for each curve in the panels. Upper left: orbital timescale, torb. Upper centre: characteristic cooling timescale, tcool. Upper right: fragmentation timescale of the gas, tfrag. Lower left: gas disruption timescale, tdisrupt. Lower left: gas depletion timescale, tsfg.

Current usage metrics show cumulative count of Article Views (full-text article views including HTML views, PDF and ePub downloads, according to the available data) and Abstracts Views on Vision4Press platform.

Data correspond to usage on the plateform after 2015. The current usage metrics is available 48-96 hours after online publication and is updated daily on week days.

Initial download of the metrics may take a while.