Open Access

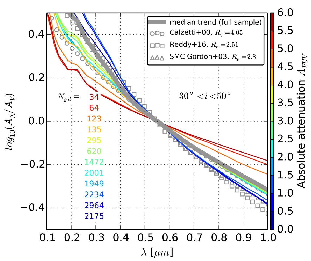
Fig. 4.

image

Variation of the median effective attenuation curves with AFUV (color coded). We only select here galaxies with a disk inclination between 30° and 50°. The median trend of the full sample is plotted with the solid gray line. We compare this trend to a set of standard attenuation curves, Calzetti et al. (2000): circles, Reddy et al. (2016): squares and Gordon et al. (2003; SMC): triangles.

Current usage metrics show cumulative count of Article Views (full-text article views including HTML views, PDF and ePub downloads, according to the available data) and Abstracts Views on Vision4Press platform.

Data correspond to usage on the plateform after 2015. The current usage metrics is available 48-96 hours after online publication and is updated daily on week days.

Initial download of the metrics may take a while.