Free Access

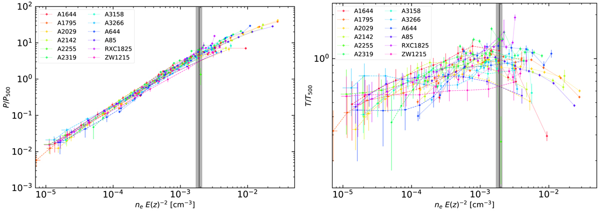
Fig. 1.

image

Left: rescaled gas pressure profiles for the X-COP objects compared with the values of the electron density measured at the same radius. Right: rescaled gas temperature profiles versus the electron density measured at the same radius. The vertical lines indicate the location (with relative uncertainty) of the transition between core and outskirts discussed in Sect. 2.

Current usage metrics show cumulative count of Article Views (full-text article views including HTML views, PDF and ePub downloads, according to the available data) and Abstracts Views on Vision4Press platform.

Data correspond to usage on the plateform after 2015. The current usage metrics is available 48-96 hours after online publication and is updated daily on week days.

Initial download of the metrics may take a while.