Highlight
Free Access

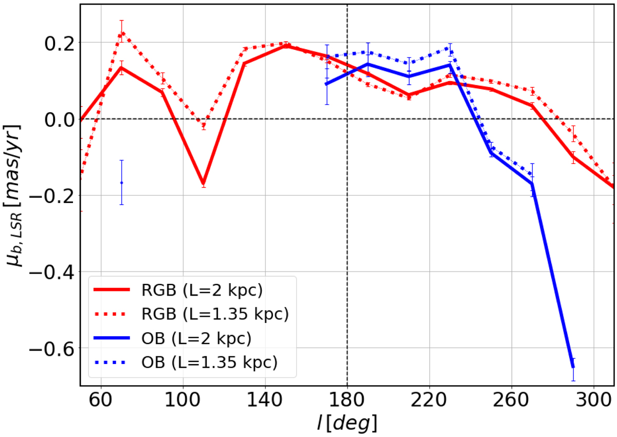
Fig. 12.

image

Comparison of results for the LonKin methods for the radial bin R = 13−14 kpc obtained for two different prior scale-lengths, L = 2 kpc (solid lines) and L = 1.35 kpc (dotted lines) in red for the RGB sample and in blue for the OB sample.

Current usage metrics show cumulative count of Article Views (full-text article views including HTML views, PDF and ePub downloads, according to the available data) and Abstracts Views on Vision4Press platform.

Data correspond to usage on the plateform after 2015. The current usage metrics is available 48-96 hours after online publication and is updated daily on week days.

Initial download of the metrics may take a while.