Highlight
Free Access

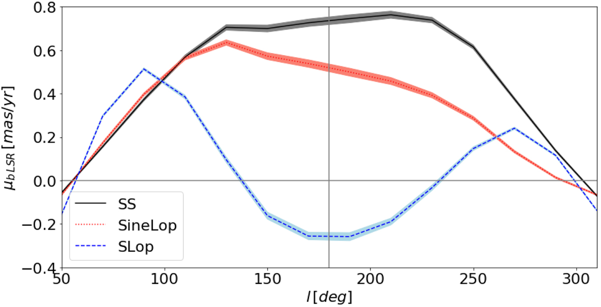
Fig. D.2.

image

LonKin method applied to random realisations of the reference models, at the Galactocentric ring 13 <  R <  14 kpc. Simple Symmetric warp (SS) in black, Sine Lopsided (SineLop) in red, and S Lopsided (SLop) in blue. The line shows the median of the particles in bins of 20° and the error bars (shaded areas) show the lower and upper 1σ uncertainty in the position of the median.

Current usage metrics show cumulative count of Article Views (full-text article views including HTML views, PDF and ePub downloads, according to the available data) and Abstracts Views on Vision4Press platform.

Data correspond to usage on the plateform after 2015. The current usage metrics is available 48-96 hours after online publication and is updated daily on week days.

Initial download of the metrics may take a while.