Free Access

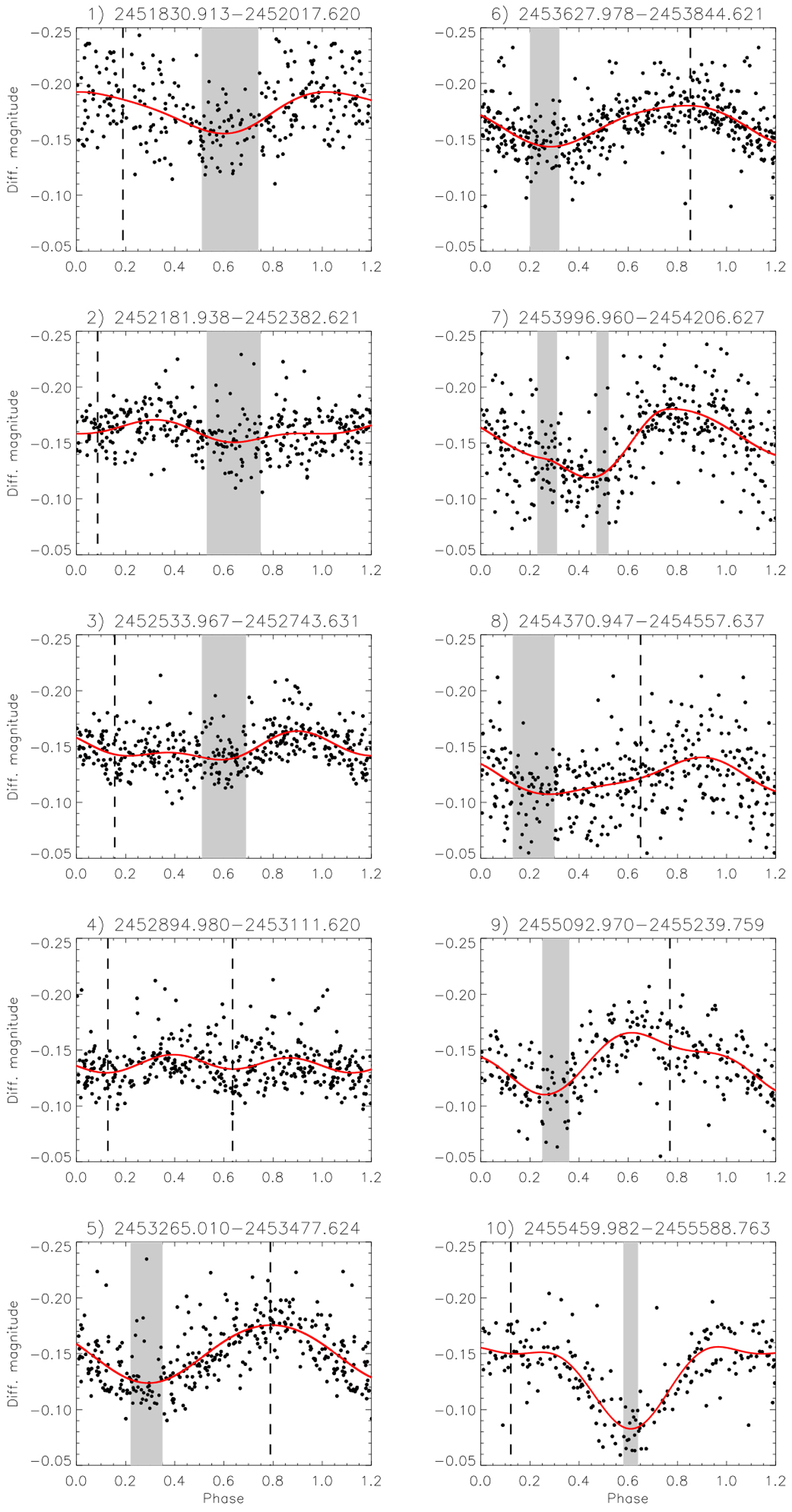
Fig. 3

image

Seasonal light curves of V1358 Ori phased with Prot = 1.3571 d. The time periods are denoted over the plots in JD along with the number of the seasons. Solid (red) lines show a two-spot model fitted to the light curves. Shaded zones show the longitudinal position of the dominant spot and the width of thezone denotes the error of the spot longitude. Vertical dashed lines indicate the longitude of the weaker spot. Certain seasons were omitted where a low number of data points made visual inspection meaningless.

Current usage metrics show cumulative count of Article Views (full-text article views including HTML views, PDF and ePub downloads, according to the available data) and Abstracts Views on Vision4Press platform.

Data correspond to usage on the plateform after 2015. The current usage metrics is available 48-96 hours after online publication and is updated daily on week days.

Initial download of the metrics may take a while.