Free Access

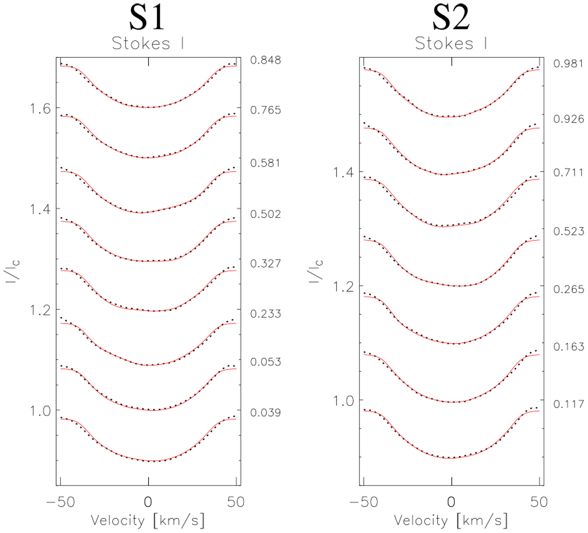
Fig. 5

image

Observed averaged line profiles and final fits for the two subsets. The dotted (black) lines represent the observations, while the solid (red) lines are the fits from the Doppler imaging. Rotational phases are marked on the right side of the plots.

Current usage metrics show cumulative count of Article Views (full-text article views including HTML views, PDF and ePub downloads, according to the available data) and Abstracts Views on Vision4Press platform.

Data correspond to usage on the plateform after 2015. The current usage metrics is available 48-96 hours after online publication and is updated daily on week days.

Initial download of the metrics may take a while.