Free Access

Fig. 1.

image

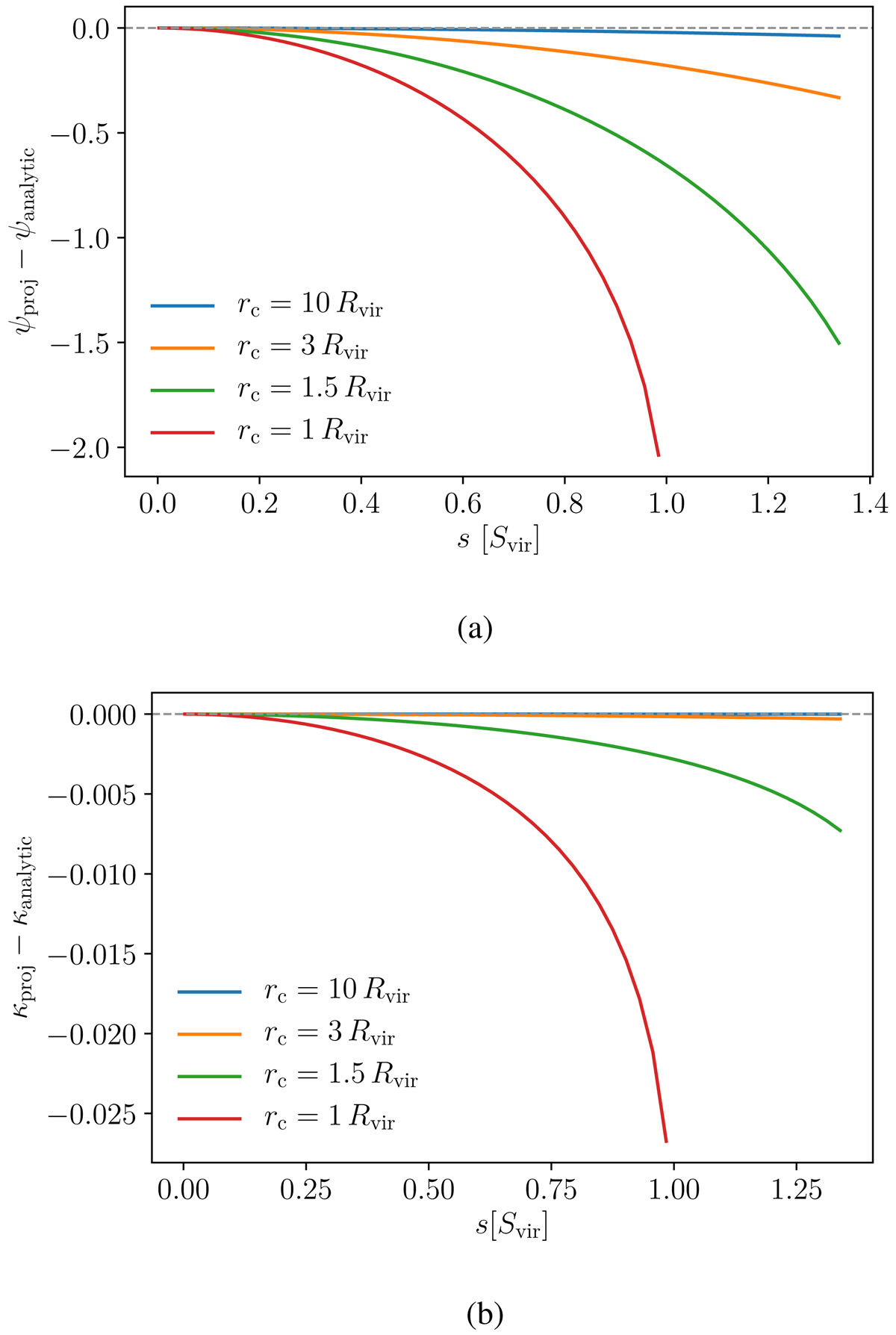
Projections of the gravitational potential (panel a) or the (rescaled) density (panel b) of a NFW halo, which are truncated at different multiples of the virial radius, vs. the analytic projected potential or density of that halo. All curves are shifted to coincide at the innermost radius.

Current usage metrics show cumulative count of Article Views (full-text article views including HTML views, PDF and ePub downloads, according to the available data) and Abstracts Views on Vision4Press platform.

Data correspond to usage on the plateform after 2015. The current usage metrics is available 48-96 hours after online publication and is updated daily on week days.

Initial download of the metrics may take a while.