Open Access

Fig. 4.

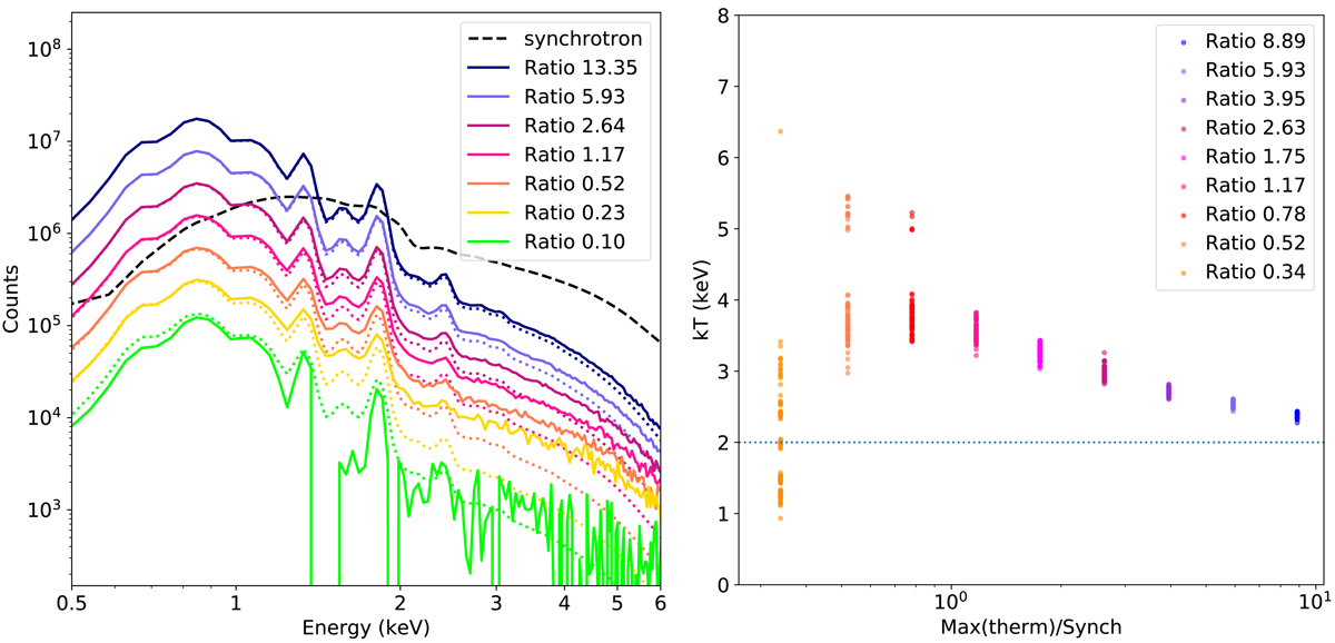
image

Left: spectra retrieved by GMCA for different thermal emission-to-synchrotron ratios with a total number of counts corresponding to a 1 Ms observation. Retrieved and theoretical spectra are shown in solid and dotted lines, respectively. The synchrotron spectrum is displayed as an indication of the relative strengths. Right: kT retrieved by Xspec by fitting a thermal model on the thermal emission spectra retrieved by GMCA for different Fe line-to-synchrotron ratios with a total number of counts corresponding to a 100 ks observation. For each ratio, we made a Monte-Carlo with 100 realizations, fitting in Xspec a thermal model on every realization associated with the error bars given by the Monte-Carlo. The theoretical kT is 2 keV and is indicated by the blue dotted line.

Current usage metrics show cumulative count of Article Views (full-text article views including HTML views, PDF and ePub downloads, according to the available data) and Abstracts Views on Vision4Press platform.

Data correspond to usage on the plateform after 2015. The current usage metrics is available 48-96 hours after online publication and is updated daily on week days.

Initial download of the metrics may take a while.