Free Access

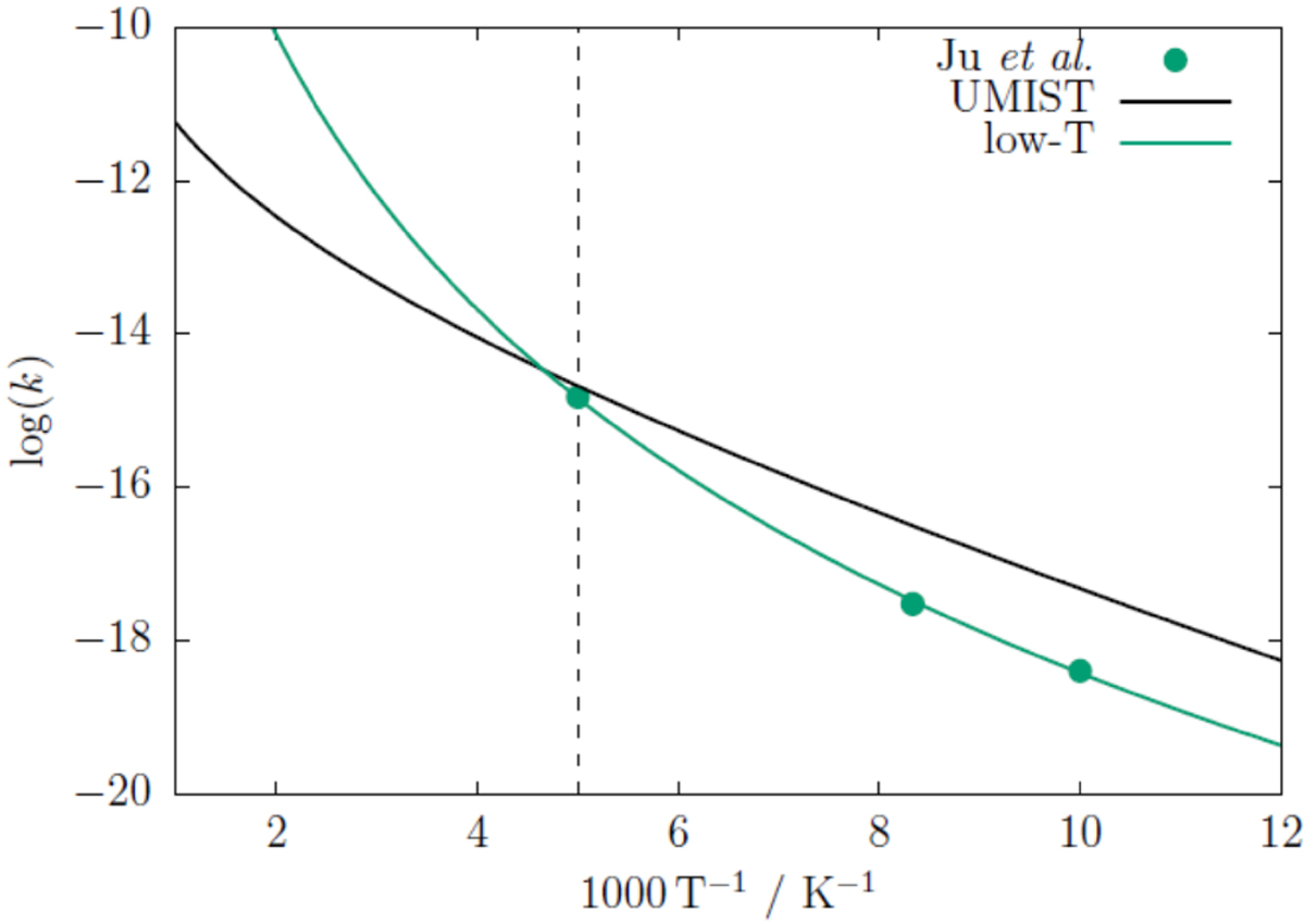
Fig. A.3

image

Arrhenius plot of the rate constants using the UMIST2012 parameters and the fit the literature values for the reaction H2 + CN → HCN + H [24]. The values are from canonical-variational transition state theory and small-curvature Tunneling corrections (ICVT/SCT)Ju et al. (2006) The vertical dashed line indicates the lower bound for the recommended temperature range of the UMIST2012 database, Tl = 200 K.

Current usage metrics show cumulative count of Article Views (full-text article views including HTML views, PDF and ePub downloads, according to the available data) and Abstracts Views on Vision4Press platform.

Data correspond to usage on the plateform after 2015. The current usage metrics is available 48-96 hours after online publication and is updated daily on week days.

Initial download of the metrics may take a while.