Free Access

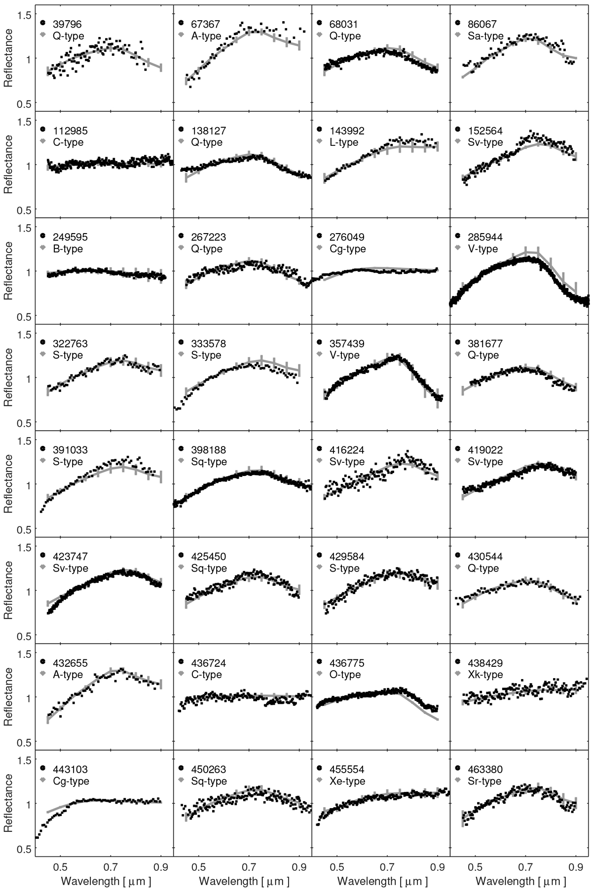
Fig. 2

image

Optical spectra of NEAs observed with the INT telescope without NIR counterpart. All reflectances are normalized at 0.55 Tm wavelength. The template spectrum of the assigned taxonomic type is shown in gray.

Current usage metrics show cumulative count of Article Views (full-text article views including HTML views, PDF and ePub downloads, according to the available data) and Abstracts Views on Vision4Press platform.

Data correspond to usage on the plateform after 2015. The current usage metrics is available 48-96 hours after online publication and is updated daily on week days.

Initial download of the metrics may take a while.