Open Access

This article has an erratum: [https://doi.org/10.1051/0004-6361/201935044e]


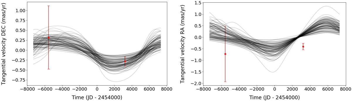
Fig. C.3.

image

HD 206893 B tangential velocity solutions at the end of the MCMC on direct imaging astrometry, RV, and proper motion (black) compared to the proper motion measured by HIPPARCOS and Gaia after removing the photocenter proper motion measured by HIPPARCOS and Gaia, presented at the mean time of their observations (red).

Current usage metrics show cumulative count of Article Views (full-text article views including HTML views, PDF and ePub downloads, according to the available data) and Abstracts Views on Vision4Press platform.

Data correspond to usage on the plateform after 2015. The current usage metrics is available 48-96 hours after online publication and is updated daily on week days.

Initial download of the metrics may take a while.