Free Access

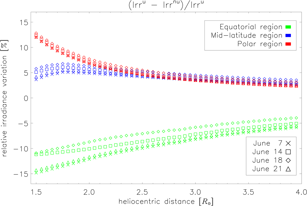
Fig. 8.

image

Radial profiles between 1.5 and 4.0 R of the percentage ratio (Irru−Irrnu)/Irru averaged over equatorial (green), mid-latitude (blue), and polar (red) regions on 1997 June 7 (cross), 14 (open square), 18 (open diamond), and 21 (open upwards-pointing triangle).

Current usage metrics show cumulative count of Article Views (full-text article views including HTML views, PDF and ePub downloads, according to the available data) and Abstracts Views on Vision4Press platform.

Data correspond to usage on the plateform after 2015. The current usage metrics is available 48-96 hours after online publication and is updated daily on week days.

Initial download of the metrics may take a while.