Free Access

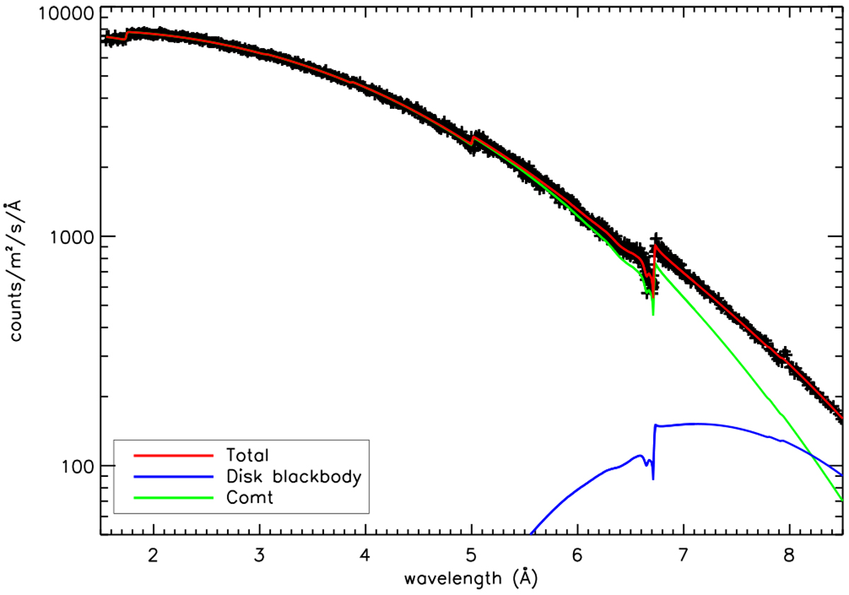
Fig. 2

image

Broadband fit of GX 5-1 with the data of obsid 19449 with the disk blackbody model (blue line) and the Comptonization model (green line). Also shown is the total fit (red line). The AMOL dust models are included in the fit.

Current usage metrics show cumulative count of Article Views (full-text article views including HTML views, PDF and ePub downloads, according to the available data) and Abstracts Views on Vision4Press platform.

Data correspond to usage on the plateform after 2015. The current usage metrics is available 48-96 hours after online publication and is updated daily on week days.

Initial download of the metrics may take a while.