Open Access

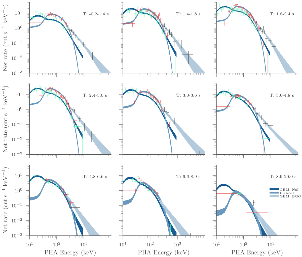
Fig. 9.

image

Count spectra of POLAR and GBM from the joint spectral and polarization fits. The shaded regions indicate the 2σ credible regions of the fit. Data from a GBM NaI, BGO, and POLAR and displayed in green, black, and red respectively.

Current usage metrics show cumulative count of Article Views (full-text article views including HTML views, PDF and ePub downloads, according to the available data) and Abstracts Views on Vision4Press platform.

Data correspond to usage on the plateform after 2015. The current usage metrics is available 48-96 hours after online publication and is updated daily on week days.

Initial download of the metrics may take a while.