Highlight
Free Access

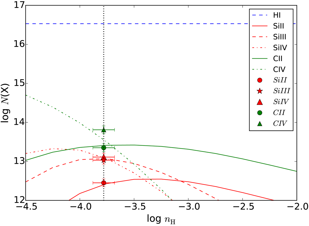
Fig. 6.

image

Cloudy model for the HVC at vLSR = −257 km s−1 in the direction of MR 2251−178. Solid, dashed, and dash-dotted lines represent column densities predicted by the Cloudy model for different ions, while the symbols (dots, star, and triangles) show the measured values. This model, with log N(H I) = 16.53, fits Si II, Si III, Si IV, and C II at log nH = −3.78, which is indicated by the black dotted line.

Current usage metrics show cumulative count of Article Views (full-text article views including HTML views, PDF and ePub downloads, according to the available data) and Abstracts Views on Vision4Press platform.

Data correspond to usage on the plateform after 2015. The current usage metrics is available 48-96 hours after online publication and is updated daily on week days.

Initial download of the metrics may take a while.