Free Access

Fig. 10

image

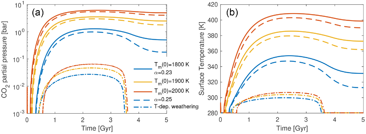
Evolution of (a) atmospheric CO2 and (b) surface temperature for a stagnant-lid planet with initial mantle temperatures of 2000 K (red), 1900 K (yellow), and 1800 K (blue). We test CO2-dependent weathering models using α = 0.23 (solid) and α = 0.25 (dashed) and a Tp dependent weathering model (dashed-dotted).

Current usage metrics show cumulative count of Article Views (full-text article views including HTML views, PDF and ePub downloads, according to the available data) and Abstracts Views on Vision4Press platform.

Data correspond to usage on the plateform after 2015. The current usage metrics is available 48-96 hours after online publication and is updated daily on week days.

Initial download of the metrics may take a while.