Free Access

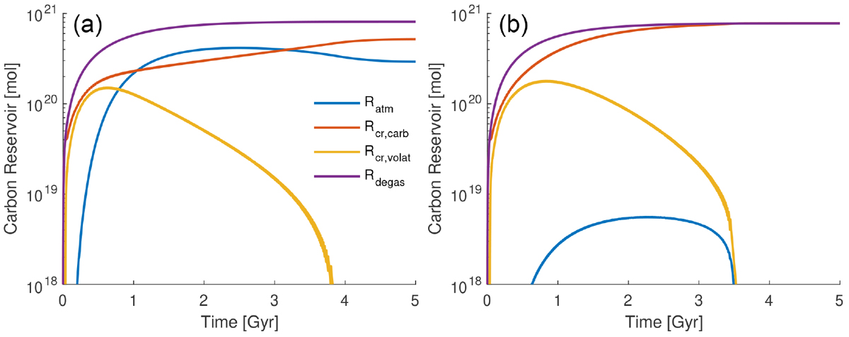
Fig. 9

image

Evolution of carbon reservoirs for a stagnant-lid planet with an initial mantle temperature of 1900 K and (a) CO2 -dependent weathering model with α = 0.23 and (b) Tp -dependent weathering model. The accumulated degassed CO2 (magenta) is distributed between the carbonated crust (red), the atmosphere (blue), and the volatile CO2 reservoir in the crustal matrix (yellow).

Current usage metrics show cumulative count of Article Views (full-text article views including HTML views, PDF and ePub downloads, according to the available data) and Abstracts Views on Vision4Press platform.

Data correspond to usage on the plateform after 2015. The current usage metrics is available 48-96 hours after online publication and is updated daily on week days.

Initial download of the metrics may take a while.