Open Access

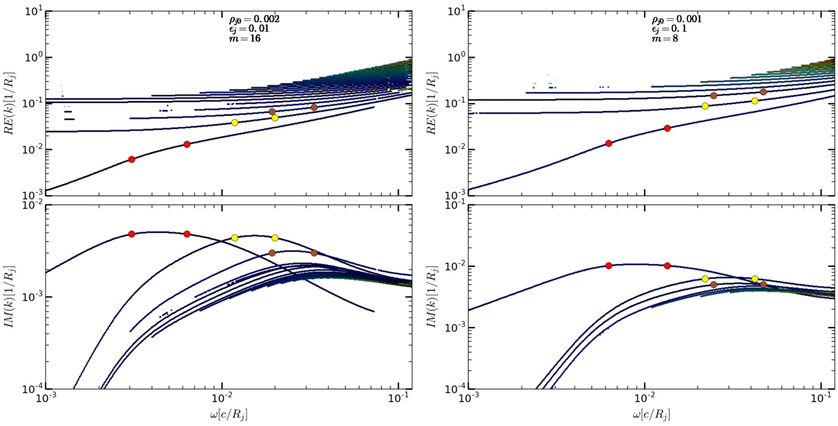
Fig. 4.

image

Example solutions of the stability equation for helical modes applied to the jet of S5 0836+710. Upper panel: wave number and lower panel: growth length as function of the frequency. The colored dots represent the values for which the maximum value of the imaginary part of the wave number is reduced by 5%, that is, the interval where the growth length is minimized. The red dots correspond to the helical surface mode, the yellow dots to the first body mode, and the brown ones to the second body mode. Left panel: solutions for a shear layer of m = 16, jet internal energy of 0.01, and jet density of 0.002. Right panel: solutions for a shear layer of m = 8, jet internal energy of 0.01, and jet density of 0.001.

Current usage metrics show cumulative count of Article Views (full-text article views including HTML views, PDF and ePub downloads, according to the available data) and Abstracts Views on Vision4Press platform.

Data correspond to usage on the plateform after 2015. The current usage metrics is available 48-96 hours after online publication and is updated daily on week days.

Initial download of the metrics may take a while.