Open Access

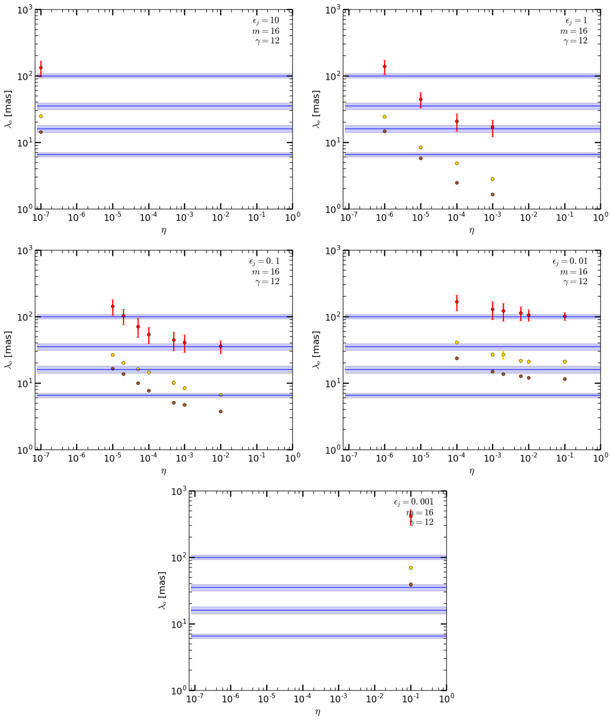
Fig. A.1.

image

Corresponding observed wavelengths from the calculations for m = 16. The color scale and the meaning of the horizontal lines are the same as used in Fig. 5. The corresponding jet internal energy for each plot is written in the figure.

Current usage metrics show cumulative count of Article Views (full-text article views including HTML views, PDF and ePub downloads, according to the available data) and Abstracts Views on Vision4Press platform.

Data correspond to usage on the plateform after 2015. The current usage metrics is available 48-96 hours after online publication and is updated daily on week days.

Initial download of the metrics may take a while.