Open Access

Fig. 9

image

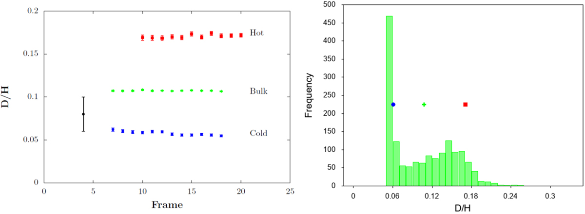
Left: D/H ratio measured in the labelled residue from a hot region (red), the bulk (green), and a cold region (blue). Black point indicates the D/H estimated from the IR ice mixture spectra prior to irradiation. Right: D/H histogram with dots corresponding to the hot (red), bulk (green), and cold (blue) D/H values.

Current usage metrics show cumulative count of Article Views (full-text article views including HTML views, PDF and ePub downloads, according to the available data) and Abstracts Views on Vision4Press platform.

Data correspond to usage on the plateform after 2015. The current usage metrics is available 48-96 hours after online publication and is updated daily on week days.

Initial download of the metrics may take a while.