Free Access

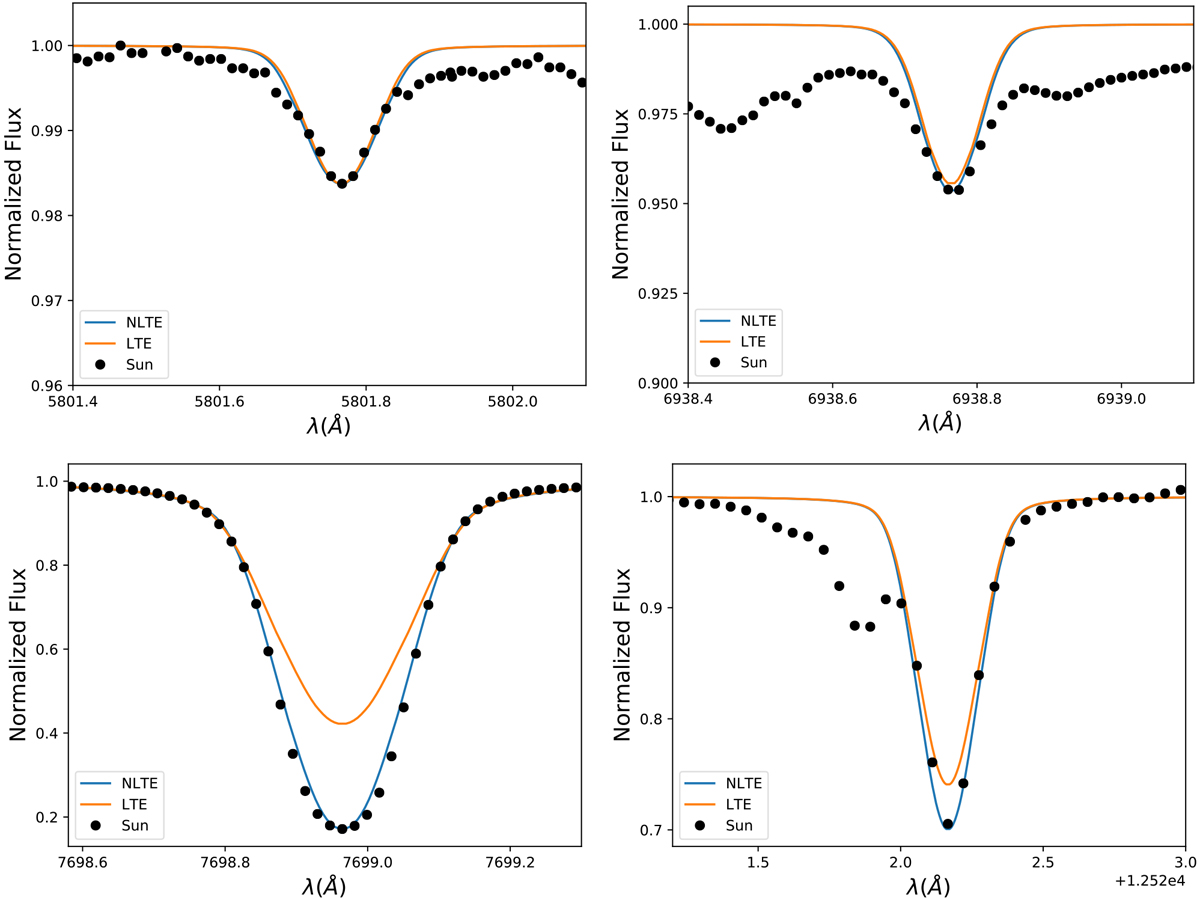
Fig. 5

image

Non-LTE abundance fit of the 5801, 6939, 7698, and 12522 Å lines (top left, top right, lower left, and lower right, respectively) at the Sun with an abundance of A(K) = 5.11. The LTE lines of the same abundance are also shown in the plots.

Current usage metrics show cumulative count of Article Views (full-text article views including HTML views, PDF and ePub downloads, according to the available data) and Abstracts Views on Vision4Press platform.

Data correspond to usage on the plateform after 2015. The current usage metrics is available 48-96 hours after online publication and is updated daily on week days.

Initial download of the metrics may take a while.