Open Access

Fig. 4.

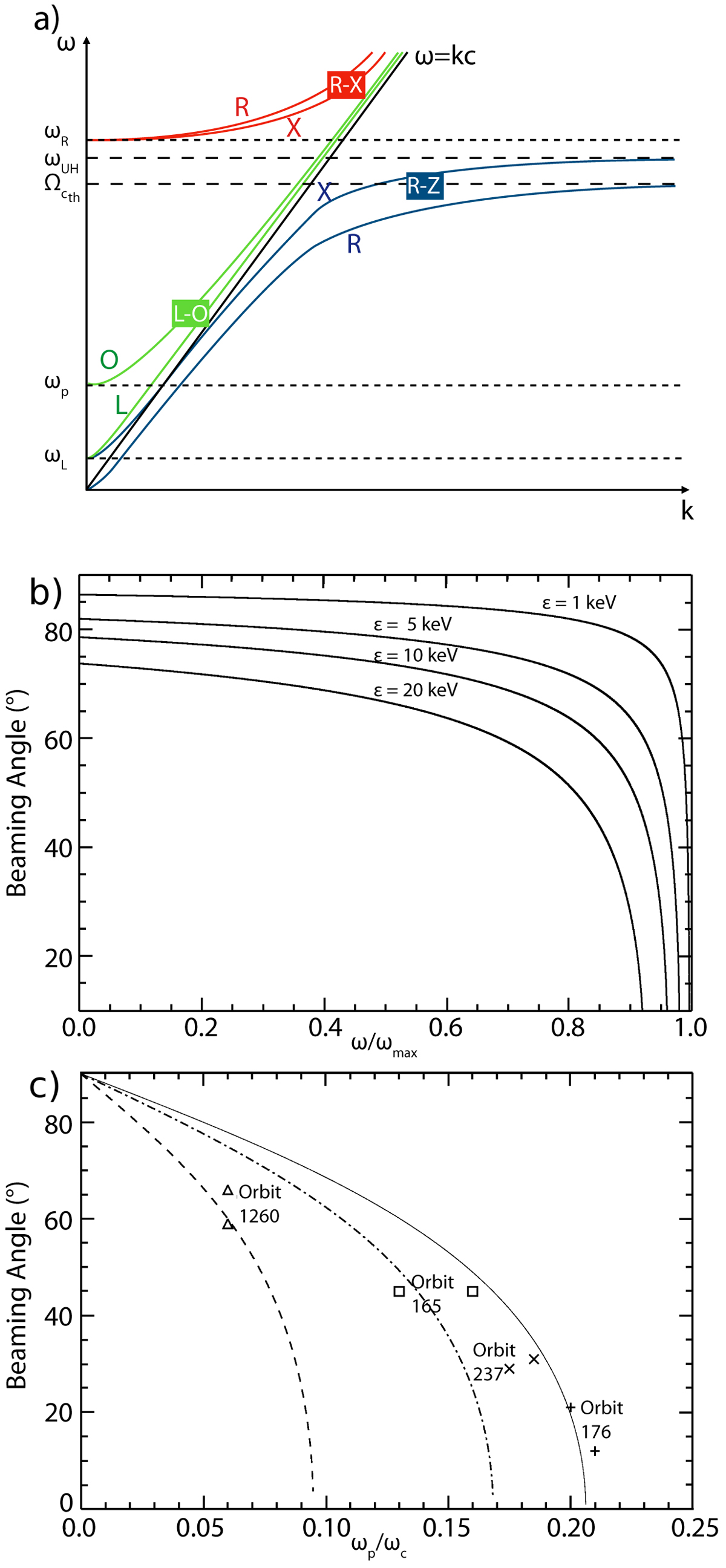
image

Panel a: sketch of the dispersion relation of the electromagnetic waves in a plasma, following the Appleton-Hartree equation. Only RX and LO modes can escape the plasma and become radio waves. Panel b: beaming angle of the oblique emissions as a function of the ratio of the emission angular frequency to the maximal electron cyclotron angular frequency, for different values of the electrons energy and N = 1. Panel c: beaming angle of the perpendicular emissions as a function of ωp/ωc outside of a cavity. Symbols correspond to terrestrial auroral kilometric radiation (AKR) beaming angle measurements by Louarn & Le Quéau (1996b). Lines are theoretical beaming angles computed using Eqs. (20) and (25), constrained by density measurements of Louarn & Le Quéau (1996b) for orbit 176 (solid line), orbit 1260 (dashed), and orbit 165 (dot-dashed).

Current usage metrics show cumulative count of Article Views (full-text article views including HTML views, PDF and ePub downloads, according to the available data) and Abstracts Views on Vision4Press platform.

Data correspond to usage on the plateform after 2015. The current usage metrics is available 48-96 hours after online publication and is updated daily on week days.

Initial download of the metrics may take a while.