Free Access

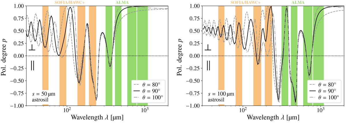
Fig. 2.

image

Left: maximum degree of polarization p for silicate grains of size s = 50 μm as a function of wavelength for different scattering angles θ around 90°. The orange and green rectangles indicate the bands A, C, D, and E of SOFIA/HAWC+, and 10, 9, 8, and 7 of ALMA, respectively. Right: same as left but for grain size s = 100 μm.

Current usage metrics show cumulative count of Article Views (full-text article views including HTML views, PDF and ePub downloads, according to the available data) and Abstracts Views on Vision4Press platform.

Data correspond to usage on the plateform after 2015. The current usage metrics is available 48-96 hours after online publication and is updated daily on week days.

Initial download of the metrics may take a while.