Free Access

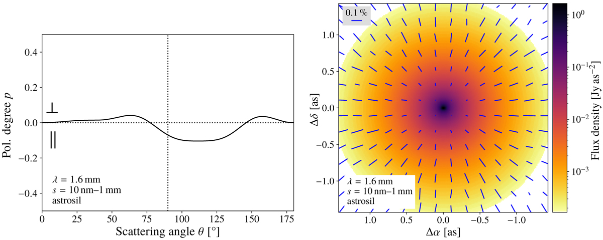
Fig. 3.

image

Left: maximum degree of polarization p (cf. Eq. (3)) for silicate grains with sizes between 10 nm and 1 mm and a size distribution of n(s) ∝ s−2.5ds as a function of scattering angle θ at a wavelength of λ = 1.6 mm. Right: corresponding intensity map of a face-on disk with superimposed polarization vectors. The length of the polarization vectors are scaled to the maximum polarization degree present in the figure.

Current usage metrics show cumulative count of Article Views (full-text article views including HTML views, PDF and ePub downloads, according to the available data) and Abstracts Views on Vision4Press platform.

Data correspond to usage on the plateform after 2015. The current usage metrics is available 48-96 hours after online publication and is updated daily on week days.

Initial download of the metrics may take a while.