Free Access

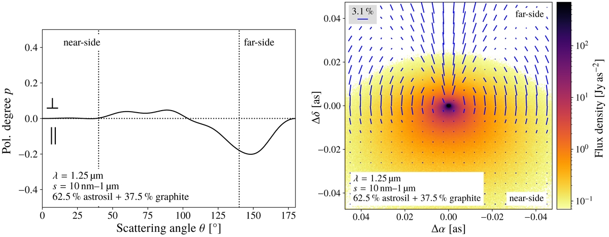
Fig. 6.

image

Polarization degree (left) and intensity map for an inclined disk with an inclination of i = 50° (right) composed of a mixture of astronomical silicate and graphite of sizes between 10 nm and 1 μm at a wavelength of λ = 1.25 μm (J band). The dotted, vertical lines in the left panel represent the predominant scattering angles at the near- and far-side of the disk, i.e. θ = 90 ° ±i. The length of the polarization vectors are scaled to the maximum polarization degree present in the figure.

Current usage metrics show cumulative count of Article Views (full-text article views including HTML views, PDF and ePub downloads, according to the available data) and Abstracts Views on Vision4Press platform.

Data correspond to usage on the plateform after 2015. The current usage metrics is available 48-96 hours after online publication and is updated daily on week days.

Initial download of the metrics may take a while.