Free Access

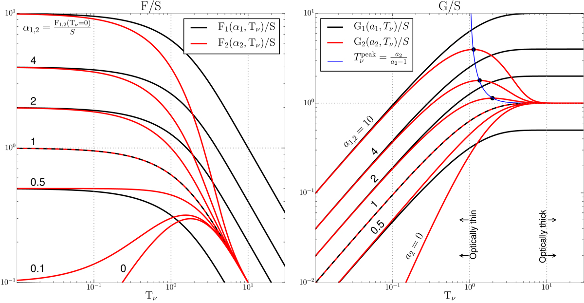
Fig. 5.

image

Left: variation of F1/S and F2/S with optical depth for different levels of V source function (α1 = SV/S) and intensity (α2 = I0/S), respectively. Right: same as left panel but for G1/S and G2/S with their corresponding parameters a1 and a2. Limiting values are: F/S(α1, Tν ≥ 10) = α1/Tν, G/S(a1, Tν ≥ 10) = α1 and G/S(a1, 2, Tν ≪ 1) = a1, 2Tν.

Current usage metrics show cumulative count of Article Views (full-text article views including HTML views, PDF and ePub downloads, according to the available data) and Abstracts Views on Vision4Press platform.

Data correspond to usage on the plateform after 2015. The current usage metrics is available 48-96 hours after online publication and is updated daily on week days.

Initial download of the metrics may take a while.