Free Access

Fig. 2

image

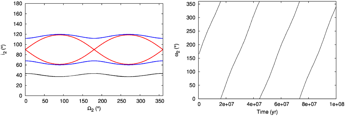
Left panel: evolutionary trajectory of a Type-P particle associated with the Set 1 of N-body simulations is represented by the black curve in an inclination i2 versus ascending node longitude Ω2 plane. The initial orbital elements of this particle are a2 = 21.935 au, e2 = 0.452, i2 = 37.129°, ω2 = 165.966°, and Ω2 = 97.285°. The inner Jupiter-mass planet of such a system has a semimajor axis a1 = 1.011 au and an eccentricity e1 = 0.237. The red curve represents the separatrix of the system, while the blue curve illustrates the pairs (Ω2, i2) that vanish the ω2 quadrupole precession rate for an inner perturber of e1 = 0.237. Right panel: temporal evolution of the argument of pericenter ω2 of the same particle.

Current usage metrics show cumulative count of Article Views (full-text article views including HTML views, PDF and ePub downloads, according to the available data) and Abstracts Views on Vision4Press platform.

Data correspond to usage on the plateform after 2015. The current usage metrics is available 48-96 hours after online publication and is updated daily on week days.

Initial download of the metrics may take a while.