Free Access

Fig. 6

image

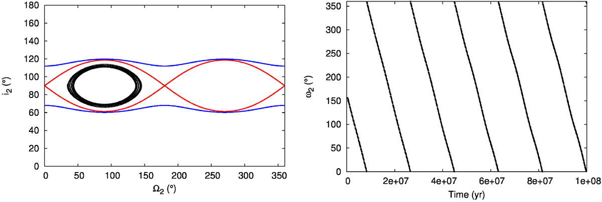
Left panel: trajectory of a Type-F particle corresponding to Set 1 of N-body simulations in the (Ω2, i2) plane (black curve). The initial orbital elements of this particle are a2 = 14.116 au, e2 = 0.262, i2 = 83.136°, ω2 = 156.0°, and Ω2 = 133.263°. The values of a1 and e1 associatedwith the inner perturber, and the red and blue curves are defined in the caption of Fig. 2. Right panel: evolution in time of the argument of pericenter ω2 of the particle.

Current usage metrics show cumulative count of Article Views (full-text article views including HTML views, PDF and ePub downloads, according to the available data) and Abstracts Views on Vision4Press platform.

Data correspond to usage on the plateform after 2015. The current usage metrics is available 48-96 hours after online publication and is updated daily on week days.

Initial download of the metrics may take a while.