Open Access

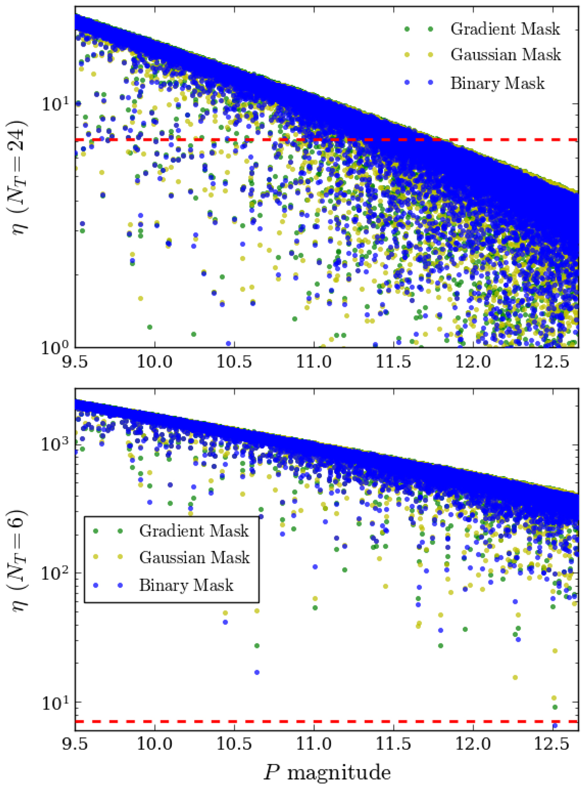
Fig. 18.

image

Scatter plot of the statistical significance η (Eq. (23)) computed for 50 000 target stars, as a function of their respective P magnitude and the applied aperture model. The red dashed line represents the threshold ηmin = 7.1. Values of are provided in Tables 9 and 10. Top: statistics for an Earth-like planet with δp = 84 ppm, td = 13 h, ntr = 3, SPRtot = 0, and NT = 24. Bottom: statistics for an Jupiter-like planet with δp = 0.1, td = 29.6 h, ntr = 3, SPRtot = 0, and NT = 6.

Current usage metrics show cumulative count of Article Views (full-text article views including HTML views, PDF and ePub downloads, according to the available data) and Abstracts Views on Vision4Press platform.

Data correspond to usage on the plateform after 2015. The current usage metrics is available 48-96 hours after online publication and is updated daily on week days.

Initial download of the metrics may take a while.