Open Access

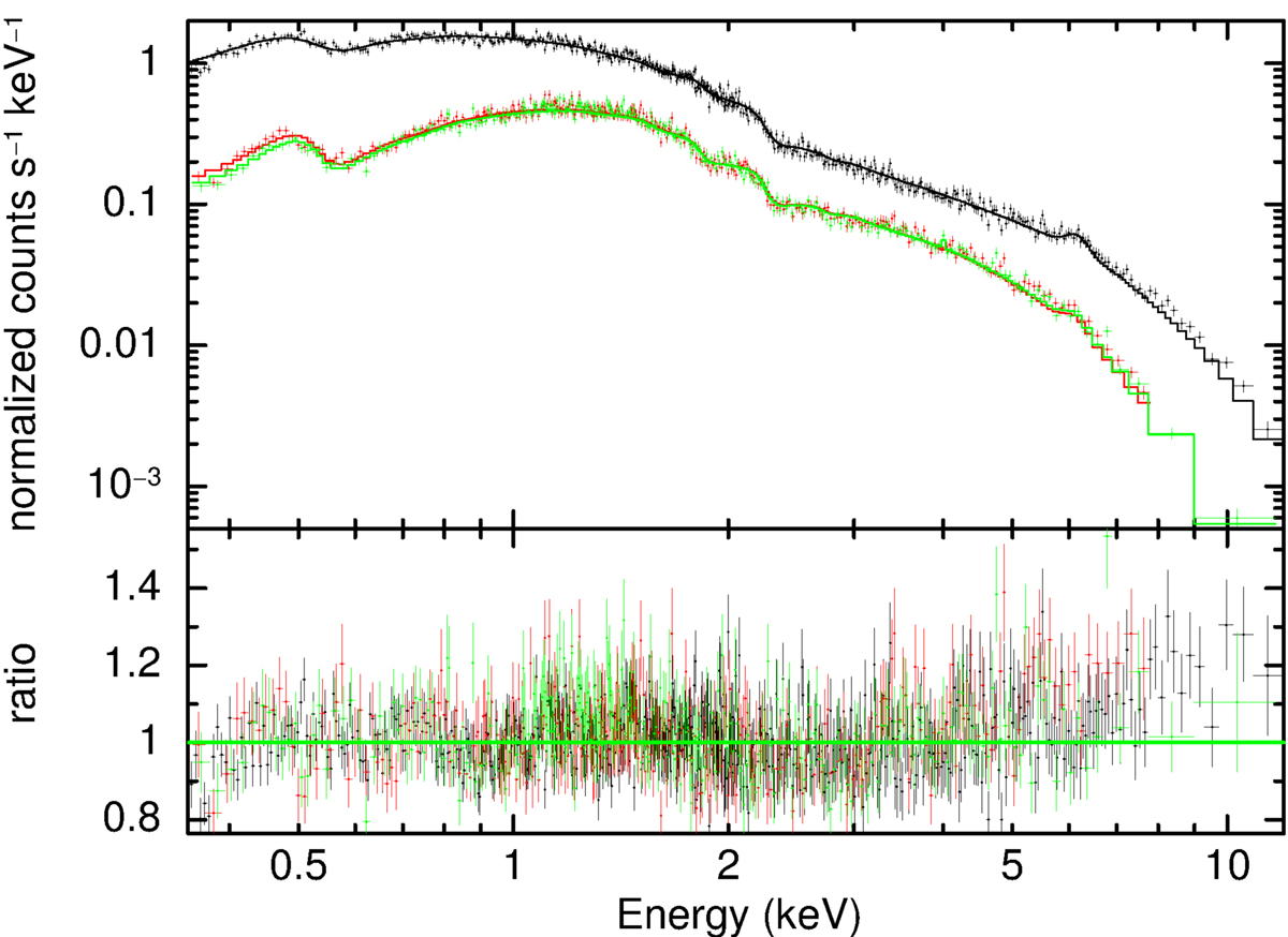
Fig. A.2.

image

XMM-Newton EPIC broad-band spectra of HE 1353−1917. The best-fit model to the data (top) and the residuals (bottom) are shown. To achieve this best fit, we have to model the Galactic absorption, a power-law component, a 6.4 keV (rest-frame) Fe-line, and two zones of ionised absorption (XSTAR grid model). One absorption zone has a low and the other a high ionisation parameter (logξ ∼ −1.4, logξ ∼ 2.7, respectively). The low S/N RGS data confirm the presence of these two absorption systems with vout <  1000 km s−1.

Current usage metrics show cumulative count of Article Views (full-text article views including HTML views, PDF and ePub downloads, according to the available data) and Abstracts Views on Vision4Press platform.

Data correspond to usage on the plateform after 2015. The current usage metrics is available 48-96 hours after online publication and is updated daily on week days.

Initial download of the metrics may take a while.