Free Access

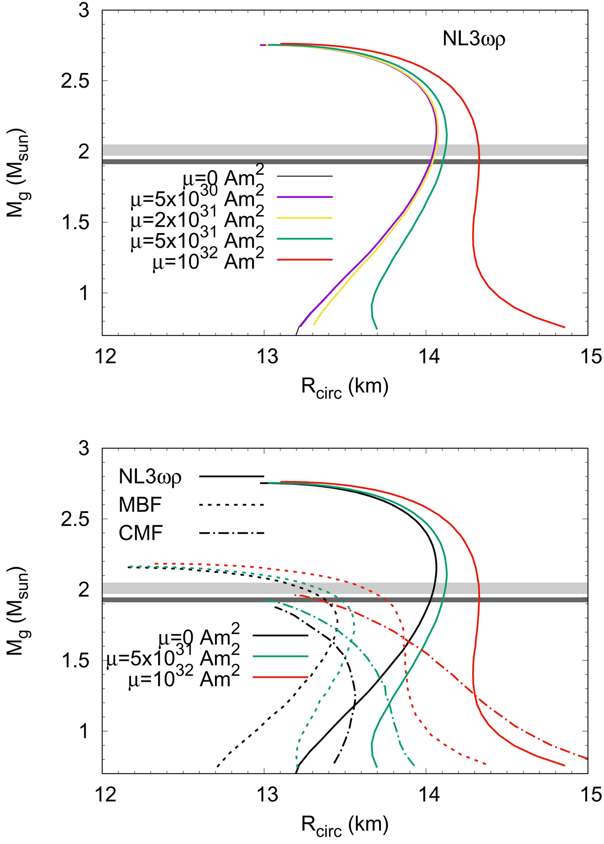
Fig. 1.

image

Mass–radius relation for the NL3ωρ model for several values of the magnetic dipole moment, μ, (top), and for the three models considered in this paper with three different values of the magnetic dipole moment (bottom).

Current usage metrics show cumulative count of Article Views (full-text article views including HTML views, PDF and ePub downloads, according to the available data) and Abstracts Views on Vision4Press platform.

Data correspond to usage on the plateform after 2015. The current usage metrics is available 48-96 hours after online publication and is updated daily on week days.

Initial download of the metrics may take a while.