Free Access

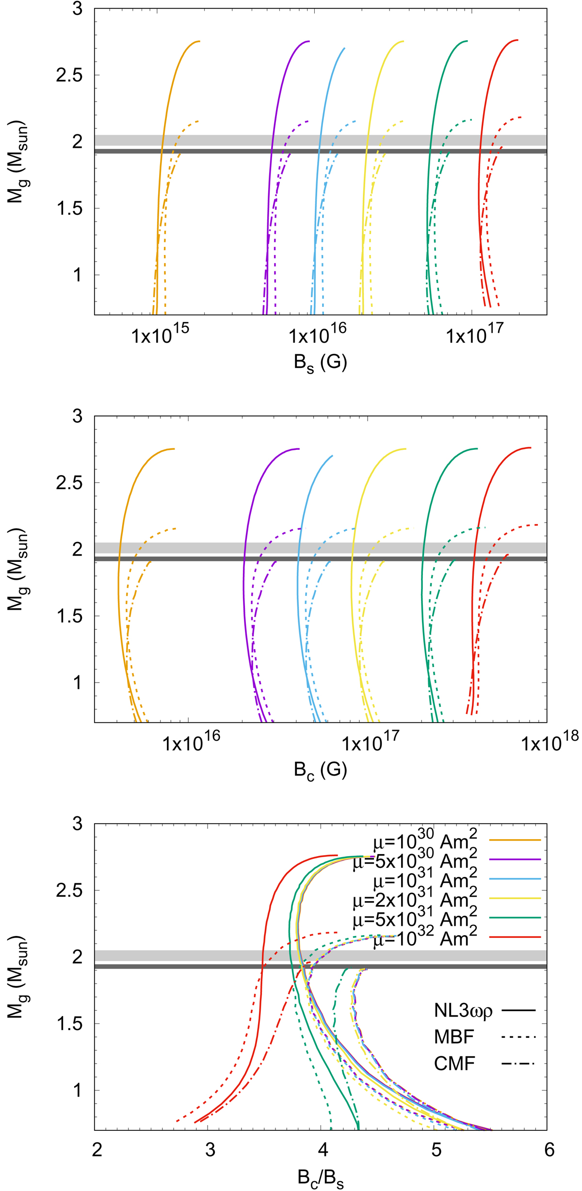
Fig. 2.

image

Gravitational mass of several families of stars with different values of the magnetic dipole moment, μ, as a function of the surface polar magnetic field at the pole Bs (top), the central magnetic field Bc (middle), and the ratio between the central and surface magnetic fields, Bc/Bs, (bottom), for the NL3ωρ (solid), MBF (dashed), and CMF (dot-dashed) models.

Current usage metrics show cumulative count of Article Views (full-text article views including HTML views, PDF and ePub downloads, according to the available data) and Abstracts Views on Vision4Press platform.

Data correspond to usage on the plateform after 2015. The current usage metrics is available 48-96 hours after online publication and is updated daily on week days.

Initial download of the metrics may take a while.