Free Access

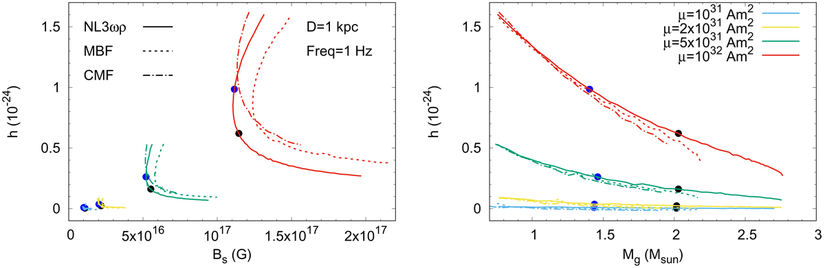
Fig. 8.

image

Gravitational wave amplitude from Eq. (1), as a function the magnetic field at the surface (pole), Bs, (left), and the gravitational mass (right) for the three models. We once more assumed a family of stars located at a distance of 1 kpc and spinning with a frequency of 1 Hz. The black dots correspond to ∼2-solar-mass star configurations, and the blue ones correspond to 1.4 M stars.

Current usage metrics show cumulative count of Article Views (full-text article views including HTML views, PDF and ePub downloads, according to the available data) and Abstracts Views on Vision4Press platform.

Data correspond to usage on the plateform after 2015. The current usage metrics is available 48-96 hours after online publication and is updated daily on week days.

Initial download of the metrics may take a while.