Free Access

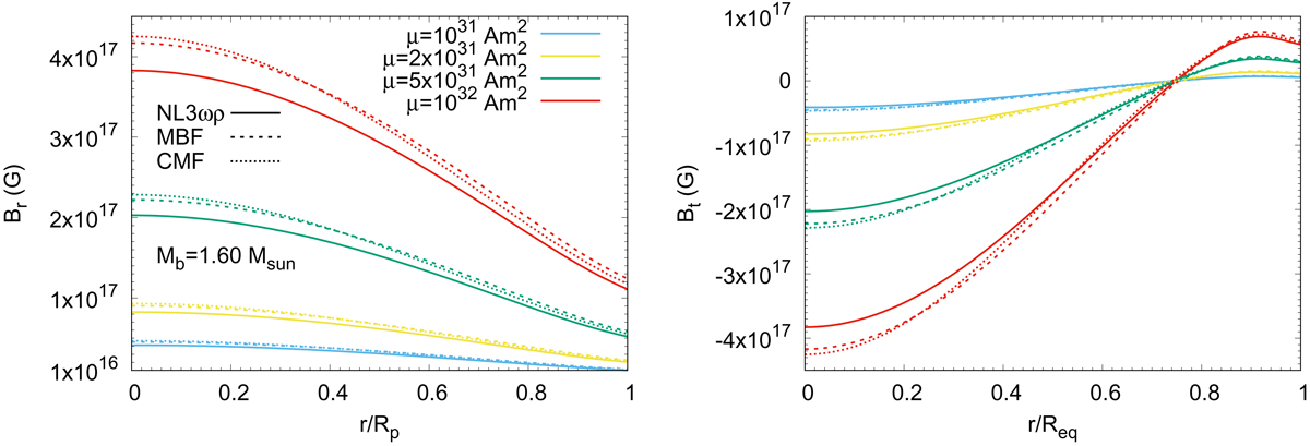
Fig. 9.

image

Radial component of the magnetic field (left) and the tangential component of the magnetic field (right) as a function of the normalized radius for the three models considering only stars with fixed baryon mass Mb = 1.6 M.

Current usage metrics show cumulative count of Article Views (full-text article views including HTML views, PDF and ePub downloads, according to the available data) and Abstracts Views on Vision4Press platform.

Data correspond to usage on the plateform after 2015. The current usage metrics is available 48-96 hours after online publication and is updated daily on week days.

Initial download of the metrics may take a while.