Free Access

Fig. 4.

image

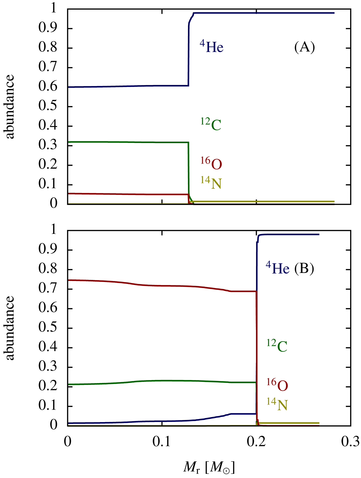
Isotope abundance profiles of two representative donor star models after the quenching of helium burning in DD I systems. Abundances are given in units of Misotope,shell/Mshell over the mass coordinate. Panel (A): model sequence 11050045, with an initial WD mass of MWD,i = 1.10 M, an initial donor star mass of Md,i = 0.50 M, and an initial orbital period of Pinit = 0.045 d. Panel (B): model sequence 11050075, with an initial WD mass of MWD,i = 1.10 M, an initial donor star mass of Md,i = 0.50 M, and an initial orbital period of Pinit = 0.075 d.

Current usage metrics show cumulative count of Article Views (full-text article views including HTML views, PDF and ePub downloads, according to the available data) and Abstracts Views on Vision4Press platform.

Data correspond to usage on the plateform after 2015. The current usage metrics is available 48-96 hours after online publication and is updated daily on week days.

Initial download of the metrics may take a while.