Free Access

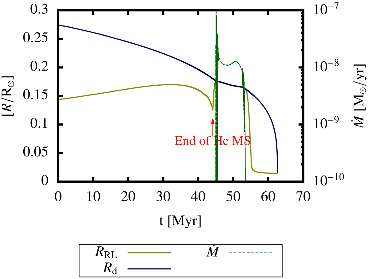
Fig. 5.

image

Orbital parameters of a representative DD II case system (110650065). The value RRL is the radius of the donor star Roche lobe, Rd the radius of the donor star, and the mass transfer rate.

Current usage metrics show cumulative count of Article Views (full-text article views including HTML views, PDF and ePub downloads, according to the available data) and Abstracts Views on Vision4Press platform.

Data correspond to usage on the plateform after 2015. The current usage metrics is available 48-96 hours after online publication and is updated daily on week days.

Initial download of the metrics may take a while.