Open Access

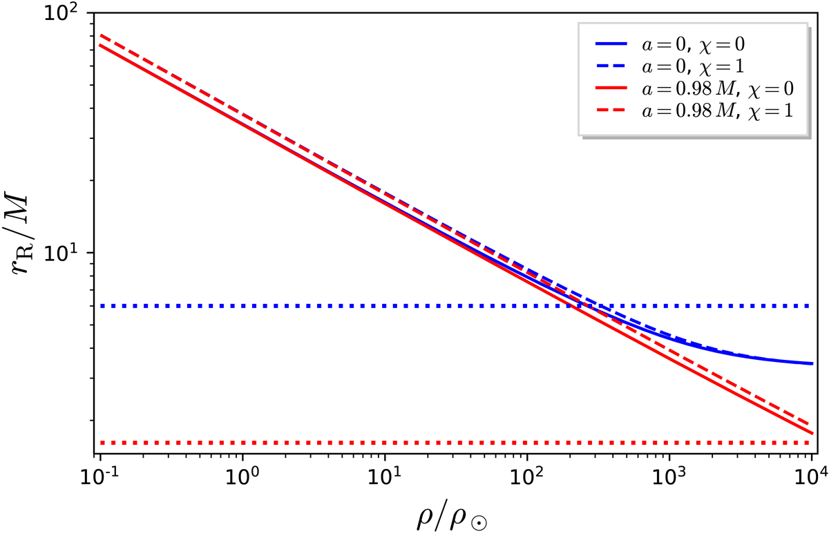
Fig. 13.

image

Roche radius rR as a function of the mean density ρ of the star (in solar units), for two values of the MBH spin a and two rotational states of the star: irrotational (χ = 0) and corotating (χ = 1). The blue (resp. red) dotted horizontal line marks the ISCO radius for a = 0 (resp. a = 0.98 M).

Current usage metrics show cumulative count of Article Views (full-text article views including HTML views, PDF and ePub downloads, according to the available data) and Abstracts Views on Vision4Press platform.

Data correspond to usage on the plateform after 2015. The current usage metrics is available 48-96 hours after online publication and is updated daily on week days.

Initial download of the metrics may take a while.