Open Access

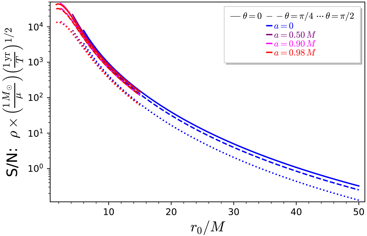
Fig. C.1.

image

Effective (direction and polarization averaged) signal-to-noise in LISA for a T = 1 yr observation of an object of mass μ = 1 M orbiting M 32 MBH, as a function of the orbital radius r0 (in units of M, the mass of M 32 MBH), and for selected values of the MBH spin parameter a as well as selected values of the inclination angle θ. Each curve starts at the ISCO radius of the corresponding value of a. It should be noted that this figure is scaled for T = 1 yr, while the equivalent figure for Sgr A* (Fig. 6) is scaled for T = 1 d.

Current usage metrics show cumulative count of Article Views (full-text article views including HTML views, PDF and ePub downloads, according to the available data) and Abstracts Views on Vision4Press platform.

Data correspond to usage on the plateform after 2015. The current usage metrics is available 48-96 hours after online publication and is updated daily on week days.

Initial download of the metrics may take a while.