Open Access

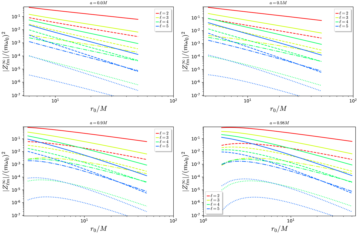
Fig. 2.

image

Amplitude factor for the harmonic (ℓ,m) of the gravitational wave emitted by an orbiting point mass (cf. Eq. (6)), in terms of the orbital radius r0. Each panel corresponds to a given value of the MBH spin: a = 0 (Schwarzschild BH), a = 0.5 M, a = 0.9 M and a = 0.98 M. A given color corresponds to a fixed value of ℓ and the line style indicates the value of m: solid: m = ℓ, dashed: m = ℓ − 1, dot-dashed: m = ℓ − 2, dotted: 0 <  m ⩽ ℓ − 3.

Current usage metrics show cumulative count of Article Views (full-text article views including HTML views, PDF and ePub downloads, according to the available data) and Abstracts Views on Vision4Press platform.

Data correspond to usage on the plateform after 2015. The current usage metrics is available 48-96 hours after online publication and is updated daily on week days.

Initial download of the metrics may take a while.