Open Access

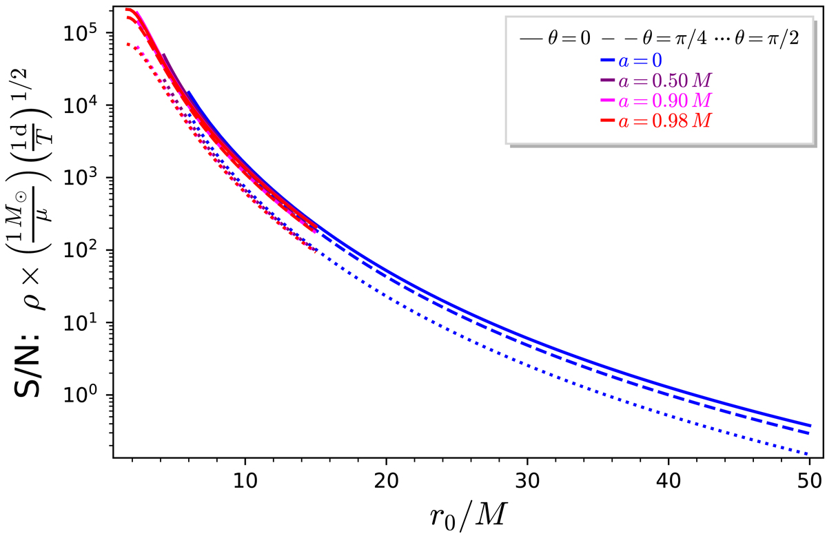
Fig. 6.

image

Same as Fig. 5, except for r0 ranging up to 50 M. For r0 >  15 M, only the a = 0 curves are plotted, since the MBH spin plays a negligible role at large distance.

Current usage metrics show cumulative count of Article Views (full-text article views including HTML views, PDF and ePub downloads, according to the available data) and Abstracts Views on Vision4Press platform.

Data correspond to usage on the plateform after 2015. The current usage metrics is available 48-96 hours after online publication and is updated daily on week days.

Initial download of the metrics may take a while.