Open Access

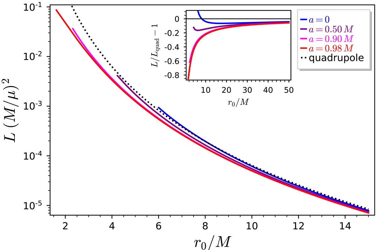
Fig. 8.

image

Gravitational wave luminosity L for an object of mass μ in circular equatorial orbit around a Kerr BH of mass M and spin parameter a, as a function of the orbital radius r0. Each curve starts at the prograde ISCO radius of the corresponding value of a. The dotted curve corresponds to the quadrupole approximation as given by Eq. (31). The inset shows the relative difference with respect to the quadrupole formula (31) up to r0 = 50 M.

Current usage metrics show cumulative count of Article Views (full-text article views including HTML views, PDF and ePub downloads, according to the available data) and Abstracts Views on Vision4Press platform.

Data correspond to usage on the plateform after 2015. The current usage metrics is available 48-96 hours after online publication and is updated daily on week days.

Initial download of the metrics may take a while.